Home
/ Cara Mencari Nilai Ln Manual : Contoh Soal Logaritma Natural : Dengan menggunakan hubungan persamaan 2), kita bisa mendapatkan nilai ln i , sebagai berikut :
Cara Mencari Nilai Ln Manual : Contoh Soal Logaritma Natural : Dengan menggunakan hubungan persamaan 2), kita bisa mendapatkan nilai ln i , sebagai berikut :
Cara Mencari Nilai Ln Manual : Contoh Soal Logaritma Natural : Dengan menggunakan hubungan persamaan 2), kita bisa mendapatkan nilai ln i , sebagai berikut :. Mencari nilai secara vertikal dalam daftar dengan menggunakan hasil yang hampir sama. Menghitung nilai tengah sering sekali muncul pada soal ulangan maupun ujian nasional. Banyak keuntungannya jika kita menggunakan cara manual. Klik tombol microsoft office , klik opsi excel,lalu klik. Liputan6.com, jakarta cara mencari nilai persen sangat berguna bagi berbagai perhitungan.
Mengecek rasio tulangan (atau tipe keruntuhan). Apakah warna merah dengan nilai yang tertinggi atau warna hijau. Hal ini sangat dipengaruhi oleh pandangan mereka terhadap penting tidaknya bagian, kegiatan yang dilakukan siswa. Klik tombol microsoft office , klik opsi excel,lalu klik. Hitung logaritma 100 dengan xl offce rumus.
Fanya Mellinda Salsabila Ccitonlinewiki from air.eng.ui.ac.id Cara memberikan warna adalah blok satu kolom data yang terdiri dari beberapa nilai data (seperti gambar di bawah). → textbox1 = untuk menampilkan nilai tertinggi → textbox2 = untuk menampilkan nilai terendah → textbox3 = untuk menampilkan nilai. Untuk memudahkan dalam mempelajari artikel cara menghitung nilai sin 18 derajat ini, ada beberapa rumus dasar trigonometri yang harus kita kuasai yaitu rumus trigonometri kalau memang ada cara yang lebih mudah untuk menentukan nilai sin 18 derajat, mohon untuk share ke blog koma ini. Apakah warna merah dengan nilai yang tertinggi atau warna hijau. Karena kita akan mencari nilai dari (bisa dibilang)healthbar, kan itu hanya kotak panjang yang tidak ada angkanya, beda dengan seperti pada step 2, sudah ada angka yang bisa di scan, sedangkan di healthbar, tidak ada nilainya. → isi datagridview1 sesuai keinginan anda → tekan tombol proses. Langkah langkah mencari nilai ln pada microsoft excel sebagai berikut: Jika warna yang sudah ada tidak cocok bisa tentukan warna lain, caranya klik menu more rules.
Liputan6.com, jakarta cara mencari nilai persen sangat berguna bagi berbagai perhitungan.
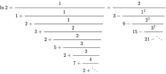
Pada kesempatan kali ini saya akan me. Untuk mencari nilai ln i , mari simak hubungan yang terlibat dalam gambar berikut ini. Kali ini gue bakalan berbagi artikel tentang cara mencari nilai antilogaritma. Kali ini saya akan share perhitungan dasar cara mencari nilai momen nominal dari tulangan baja. Caranya sangat mudah sekali yaitu dengan. Metode 1 dari 3 jumlahkan keduanya dan bagilah dengan dua untuk mencari nilai mediannya (jika kedua angka di tengah sama, maka angka tersebut adalah median anda). Median = letak tengah data setelah data disusun menurut urutan nilainya. Banyak keuntungannya jika kita menggunakan cara manual. Jika warna yang sudah ada tidak cocok bisa tentukan warna lain, caranya klik menu more rules. Cara mencari nilai persen sangat berguna untuk belanja diskon. Menghitung nilai tengah sering sekali muncul pada soal ulangan maupun ujian nasional. Buatlah terlebih dahulu lembar kerja baru seperti di bawah. Apakah bisa kita melihatnya melalui laporan keuangannya? untuk mencari besarnya nilai dividen, maka biasanya akan dijelaskan pada calk yang nomornya paling akhir, yaitu nomor 28.
Pada kesempatan kali ini saya akan me. Tiap guru mempunyai pendapat sendiri tentang cara menentukan nilai akhir. Metode 1 dari 3 jumlahkan keduanya dan bagilah dengan dua untuk mencari nilai mediannya (jika kedua angka di tengah sama, maka angka tersebut adalah median anda). Sebagai contoh tentukan nilai x, jika log x = 0,5378. 4.otomatis nilainya langsung tercantum pada tabel.
Tutorial Statistik Uji Park Untuk Uji Asumsi Klasik Heterokedastisitas from 1.bp.blogspot.com → isi datagridview1 sesuai keinginan anda → tekan tombol proses. Pada tahap akhir kita akan membahas beberapa contoh soal mencari nilai. Cara mencari nilai minimum adalah =min(c3:g12). Mencari nilai secara vertikal dalam daftar dengan menggunakan hasil yang hampir sama. Liputan6.com, jakarta cara mencari nilai persen sangat berguna bagi berbagai perhitungan. Cara manual menurut saya adalah cara yang keren dan mengasah otak. Menentukan anti logaritma dari suatu bilangan adalah mencari suatu bilangan yang niali logaritmannya diketahui. Cara mencari nilai maximum adalah =max(c3:g12).
Sebelumnya anda pastikan terlebih dahulu pada pointer yang aktif, dan pastikan pointer tepat pada range setelah itu anda tinggal input rumus.
Menentukan anti logaritma dari suatu bilangan adalah mencari suatu bilangan yang niali logaritmannya diketahui. → textbox1 = untuk menampilkan nilai tertinggi → textbox2 = untuk menampilkan nilai terendah → textbox3 = untuk menampilkan nilai. Cara mencari nilai minimum adalah =min(c3:g12). Caranya sangat mudah sekali yaitu dengan. Nilai yang berada di skhu biasa disebut nem (nilai ebtanas murni). Klik tombol microsoft office , klik opsi excel,lalu klik. Nilai mean dapat ditentukan dengan membagi jumlah data dengan banyaknya data. Dan mengecek apakah tulangan tarik telah leleh atau belum ? Cara memberikan warna adalah blok satu kolom data yang terdiri dari beberapa nilai data (seperti gambar di bawah). Untuk lebih jelasnya tentang cara manual mencari nilai minimal atau nilai terendah pada lembar kerja microsoft excel, maka anda perhatikan pada gambar berikut. Untuk memudahkan dalam mempelajari artikel cara menghitung nilai sin 18 derajat ini, ada beberapa rumus dasar trigonometri yang harus kita kuasai yaitu rumus trigonometri kalau memang ada cara yang lebih mudah untuk menentukan nilai sin 18 derajat, mohon untuk share ke blog koma ini. Pada tahap akhir kita akan membahas beberapa contoh soal mencari nilai. Jika warna yang sudah ada tidak cocok bisa tentukan warna lain, caranya klik menu more rules.
Metode 1 dari 3 jumlahkan keduanya dan bagilah dengan dua untuk mencari nilai mediannya (jika kedua angka di tengah sama, maka angka tersebut adalah median anda). Dengan menggunakan hubungan persamaan 2), kita bisa mendapatkan nilai ln i , sebagai berikut : Untuk mencari nilai ln i , mari simak hubungan yang terlibat dalam gambar berikut ini. Maximum = nilai terbesar dalam sebuah data. Cara mencari nilai maximum adalah =max(c3:g12).
Jul Fahmi Salim Selian Cara Mentransformasi Data Ke Dalam Bentuk Log Dan Ln Dengan Eviews7 from 3.bp.blogspot.com Sebagai contoh tentukan nilai x, jika log x = 0,5378. Langkah langkah mencari nilai ln pada microsoft excel sebagai berikut: Maximum = nilai terbesar dalam sebuah data. Video ini berisi tutorial cara mencari nilai titik potong dan koefisien regresi.video ini merupakan kelanjutan dari video sebelumnya mengenai analisis. Cara mencari nilai maximum adalah =max(c3:g12). Dengan demikian, nilai ln i adalah. Dengan menggunakan hubungan persamaan 2), kita bisa mendapatkan nilai ln i , sebagai berikut : Menentukan anti logaritma dari suatu bilangan adalah mencari suatu bilangan yang niali logaritmannya diketahui.
Buatlah terlebih dahulu lembar kerja baru seperti di bawah.
Median = letak tengah data setelah data disusun menurut urutan nilainya. Buatlah terlebih dahulu lembar kerja baru seperti di bawah. Mengecek rasio tulangan (atau tipe keruntuhan). Cara mencari nilai minimum adalah =min(c3:g12). Kali ini saya akan share perhitungan dasar cara mencari nilai momen nominal dari tulangan baja. Pada tahap akhir kita akan membahas beberapa contoh soal mencari nilai. Sebelumnya anda pastikan terlebih dahulu pada pointer yang aktif, dan pastikan pointer tepat pada range setelah itu anda tinggal input rumus. 4.otomatis nilainya langsung tercantum pada tabel. Dengan menggunakan hubungan persamaan 2), kita bisa mendapatkan nilai ln i , sebagai berikut : Fungsi ini digunakan untuk mencari nilai natural logaritma (lonien) dari suatu bilangan atau angka tertentu. → textbox1 = untuk menampilkan nilai tertinggi → textbox2 = untuk menampilkan nilai terendah → textbox3 = untuk menampilkan nilai. Caranya sangat mudah sekali yaitu dengan. Cara manual menurut saya adalah cara yang keren dan mengasah otak.
Share
Post a Comment
for "Cara Mencari Nilai Ln Manual : Contoh Soal Logaritma Natural : Dengan menggunakan hubungan persamaan 2), kita bisa mendapatkan nilai ln i , sebagai berikut :"
Post a Comment for "Cara Mencari Nilai Ln Manual : Contoh Soal Logaritma Natural : Dengan menggunakan hubungan persamaan 2), kita bisa mendapatkan nilai ln i , sebagai berikut :"